|
Münster (upm).
Die Reihe der Faltschritte steht für aufeinanderfolgende Reaktionen. Ausgehend vom Ausgangsstoff Cyclobutanol („Blatt Papier“) kann eine isolierbare Zwischenverbindung hergestellt werden („Origami-Hut“). Durch die Zugabe eines Brønsted-Säure-Aktivators wird eine intramolekulare Cyclisierung ausgelöst, die zu hochwertigen Tetralin-Derivaten führt („Origami-Boot“). Andererseits können sogenannte Nukleophile durch die Aktivierung der benzylischen Kohlenstoff-Fluor-Bindung eingeführt werden („Origami-Herz“).<address>© WWU Münster - AG Gilmour</address>
Die Reihe der Faltschritte steht für aufeinanderfolgende Reaktionen. Ausgehend vom Ausgangsstoff Cyclobutanol („Blatt Papier“) kann eine isolierbare Zwischenverbindung hergestellt werden („Origami-Hut“). Durch die Zugabe eines Brønsted-Säure-Aktivators wird eine intramolekulare Cyclisierung ausgelöst, die zu hochwertigen Tetralin-Derivaten führt („Origami-Boot“). Andererseits können sogenannte Nukleophile durch die Aktivierung der benzylischen Kohlenstoff-Fluor-Bindung eingeführt werden („Origami-Herz“).
© WWU Münster - AG Gilmour

Chemiker entwickeln Reaktionskaskade zur Herstellung fluorierter Moleküle

„Molekulares Origami“ erzeugt neue Strukturen in einem Arbeitsschritt / Team der Universität Münster stellt Studie in „Nature Communications“ vor

Natürlich vorkommende organische Moleküle enthalten nur selten Fluor. Für die Herstellung von Arzneimitteln oder Agrochemikalien ist dieses chemische Element jedoch unverzichtbar. Die synthetische Chemie spielt eine wichtige Rolle bei der Entwicklung neuer fluorhaltiger Molekülbausteine. Einfache, modulare Synthese-Strategien sind besonders gefragt. Ein Team unter der Leitung von Prof. Dr. Ryan Gilmour vom Institut für Organische Chemie der Universität Münster hat jetzt eine Reaktionskaskade entwickelt, die es ermöglicht, mehrere Fluorierungsreaktionen durch die sequenzielle Erzeugung reaktiver Zwischenprodukte durchzuführen. Die Gruppe setzte preiswerte organische Katalysatoren und einfache Ausgangsstoffe ein. Sie zeigte, dass der jeweilige Ausgangsstoff durch eine Art „molekulares Origami“ transformiert werden kann, um in einem einzigen Arbeitsschritt drei neue Klassen von zwei- bis dreifach fluorierten Molekülen zu erzeugen. Die Studie ist in der Fachzeitschrift „Nature Communications“ veröffentlicht.

Der schrittweise Aufbau komplexer fluorierter Moleküle kann mehrere Aufreinigungsschritte erfordern. Dies treibt die Kosten in die Höhe, benötigt zusätzliche Zeit und erzeugt Abfälle. Dr. Joel Häfliger und Dr. Louise Ruyet aus der Arbeitsgruppe von Ryan Gilmour fanden heraus, dass durch eine Feinabstimmung der Reaktionsbedingungen mehrere aufeinanderfolgende Reaktionen in einem einzigen Reaktionsgefäß möglich sind. So erzeugten sie aus einfachen Cyclobutanol-Derivaten drei neue Klassen komplexer fluorierter Produkte. „Die Strategie weist Parallelen zur Origami-Kunst auf, bei der man aus einem einfachen Stück Papier komplexe Figuren faltet“, veranschaulicht Louise Ruyet. „Dieses Prinzip lässt sich auf unsere chemische Methode übertragen.“

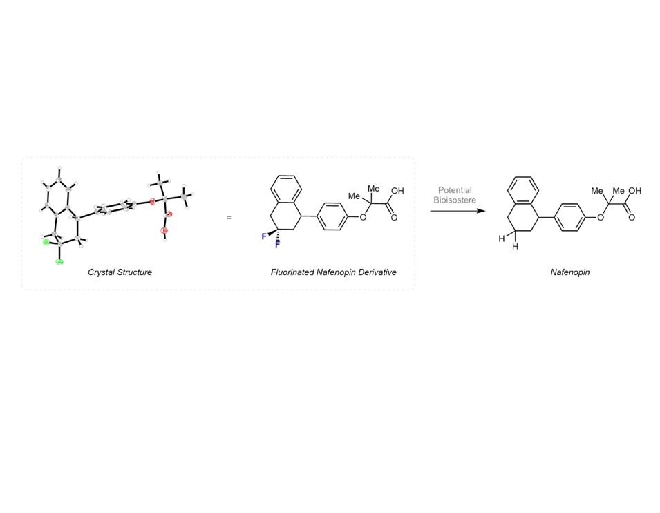
Links: Kristallstruktur (grau: Kohlenstoff, C; grün: Fluor, F; rot: Sauerstoff, O) des neuartigen, difluorierten Nafenopin-Derivats. Der modifizierte Wirkstoff wurde ausgehend von einem Zwischenprodukt hergestellt, welches mithilfe der beschriebenen Methodik synthetisiert wurde. Rechts: Struktur von Nafenopin.<address>© WWU Münster - AG Gilmour</address>
Links: Kristallstruktur (grau: Kohlenstoff, C; grün: Fluor, F; rot: Sauerstoff, O) des neuartigen, difluorierten Nafenopin-Derivats. Der modifizierte Wirkstoff wurde ausgehend von einem Zwischenprodukt hergestellt, welches mithilfe der beschriebenen Methodik synthetisiert wurde. Rechts: Struktur von Nafenopin.
© WWU Münster - AG Gilmour
Die Reihe der Faltschritte steht für aufeinanderfolgende Reaktionen. „Ausgehend von unserem Stück Papier – dem Cyclobutanol-Derivat – wird eine Zwischenverbindung hergestellt. Diese Verbindung kann je nach Reaktionsbedingungen zu verschiedenen Produkten verarbeitet werden“, sagt Joel Häfliger, der Hauptautor der Arbeit. Der Schlüssel zum Erfolg des Ansatzes war die Verwendung eines sauren Mediums, um das Substrat zu aktivieren und ein Zwischenprodukt zu erzeugen, das in einen katalytischen Zyklus eingebunden werden kann. Das Team synthetisierte als Anwendungsbeispiel ein fluoriertes Analogon des Wirkstoffs Nafenopin, der bei Hypolipidämie – einem auffällig niedrigen Lipidspiegel im Blut – eingesetzt wird.

Der Europäische Forschungsrat unterstützte die Arbeit finanziell (ERC Consolidator Grant RECON “Reprogramming Conformation by Fluorination: Exploring New Areas of Chemical Space”. Grant agreement ID: 818949).

 

Originalveröffentlichung

J. Häfliger, L. Ruyet, N. Stübke, C. G. Daniliuc and R. Gilmour (2023): Integrating I(I)/I(III) Catalysis in Reaction Cascade Design Enables the Synthesis of gem-Difluorinated Tetralins from Cyclobutanols. Nature Communications, 14, 3207; DOI: 10.1038/s41467-023-38957-w

Links zu dieser Meldung