© P.A.G. Asuako

Das Ausmaß der Doppelaufgabenkosten kann durch den Modalitätskompatibilitätseffekt gemildert werden

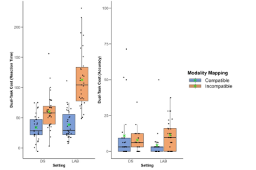
Eine kürzlich vom Arbeitsbereich Neuromotorik und Training durchgeführte Studie hat gezeigt, dass die Kosten für Doppel-Aufgaben steigen, wenn sich die sensorische Modalität der Aufgaben-Eingabe (z. B. auditiv oder visuell) von der sensorischen Modalität der Aufgaben-Reaktion (z. B. auditiv oder visuell) unterscheidet. Dieser Effekt ist jedoch in einer klassischen Laborumgebung stärker ausgeprägt als in einer wirklichkeitsnahen Fahrsimulatorumgebung. Diese Ergebnisse deuten darauf hin, dass Interferenzen, die durch modalitäts-inkompatible Zuordnungen entstehen, in naturalistischeren Umgebungen im Vergleich zu klassischen Laborbedingungen abgeschwächt werden. Dies legt nahe, dass der Modalitätskompatibilitätseffekt zwar auch in realen Kontexten auftreten kann, sich jedoch nicht in derselben Weise manifestiert wie in traditionellen Laborumgebungen. Zur Originalpublikation geht’s hier