Interface-driven dynamics: Adaptive and active wetting phenomena
Our main focus is the modeling of nonlinear interface-dominated dynamic phenomena related to simple, complex and active liquids and other soft matter in systems that involve deformable interfaces between phases. We develop and employ gradient dynamics approaches to mesoscopic hydrodynamics, phase field (crystal) methods, and dynamical density functional theory. These are then analyzed by means of (numerical) bifurcation studies, tools of (non)equilibrium thermodynamics and statistical physics. Micro-meso hybrid methods, and data science approaches to complexity are also employed.
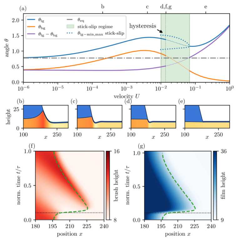
Relevant to SoN, we investigate dynamic wetting phenomena for droplets of partially wetting liquids on flexible and adaptive substrates. Droplets interact with the underlying substrate by deforming elastic ones like hydrogels and by amending their physico-chemically properties via the absorption of liquid into substrates like polymer brushes and porous media. This results in dynamic interactions that profoundly change the wetting behaviour, e.g., via the access to additional dissipation chanels and long-lived non-equilibrium states. If such systems are furthermore coupled to chemical reactions fed by chemostats, varied persistent out-of-equilibrium dynamics emerges that may be termed "active wetting." Related considerations concern the osmotic spreading of biofilms on hard and soft agars, the self-propelled motion of sessile droplets of active liquids, and (oscillatory) phase-separation in nonreciprocal systems.
