Next: High and low temperature
Up: Non-Gaussian prior factors
Previous: Prior mixtures for density
  Contents
Prior mixtures for regression
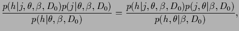
For regression it is especially useful to introduce
an inverse temperature multiplying the terms
depending on
, i.e., likelihood and prior.4As in regression
is represented by the regression function
the temperature-dependent error functional becomes
 |
(544) |
with
 |
(545) |
 |
(546) |
some hyperprior energy
,
and
with some constant
.
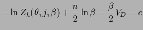
If we also maximize with respect to
we have to include the (
-independent)
training data variance
where
=
is the variance of the
training data at
.
In case every
appears only once
vanishes.
Notice that
includes a contribution from the
data points
arising from the
-dependent normalization
of the likelihood term.
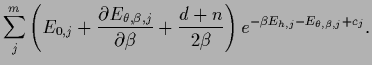
Writing the stationarity equation
for the hyperparameter
separately,
the corresponding three stationarity conditions
are found as
As
is only a one-dimensional parameter
and its density can be quite non-Gaussian
it is probably most times more informative
to solve for varying values of
instead to restrict to a single
`optimal'
.
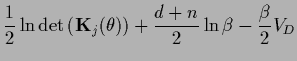
Eq. (548)
can also be written
 |
(551) |
with
being thus still a nonlinear equation for
.
Subsections
Next: High and low temperature
Up: Non-Gaussian prior factors
Previous: Prior mixtures for density
  Contents
Joerg_Lemm
2001-01-21