Next: Exact predictive density
Up: Regression
Previous: Regression
  Contents
An important special case of density estimation
leading to quadratic data terms
is regression for independent training data
with Gaussian likelihoods
 |
(245) |
with fixed, but possibly
-dependent, variance
.
In that case
=
is specified by
=
and
the logarithmic term
becomes quadratic in the regression function
,
i.e., of the form (225).
In an interpretation as empirical risk minimization
quadratic error terms corresponds to the choice of
a squared error loss function
=
for action
.
Similarly, the
technical analogon of Bayesian priors
are additional (regularizing) cost terms.
We have remarked in Section 2.3
that for continuous
measurement
of
has to be understood as
measurement of a
=
for sharply peaked
.
We assume here that the discretization
of
used in numerical calculations takes care of that averaging.
Divergent quantities like
-functionals,
used here for convenience, will then not be present.
We now combine Gaussian data terms and a Gaussian (specific) prior
with prior operator
and define for training data
,
the operator
 |
(246) |
and training data templates
.
We also allow a general prior template
but remark that it is often chosen identically zero.
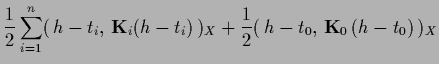
According to (230) the resulting functional can be written
in the following forms, useful for different purposes,
 |
 |
 |
(247) |
| |
 |
 |
(248) |
| |
 |
 |
(249) |
| |
 |
 |
(250) |
| |
 |
 |
(251) |
| |
 |
 |
(252) |
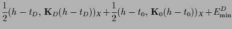
with
 |
(253) |
 |
(254) |
and
-independent minimal errors,
being proportional to the ``generalized variances''
=
and
=
.
The scalar product
stands for
-integration only,
for the sake of simplicity however, we will skip the subscript
in the following.
The data operator
 |
(257) |
contains for discrete
on its diagonal
the number of measurements at
,
 |
(258) |
which is zero for
not in the training data.
As already mentioned for continuous
a integration
around a neighborhood of
is required.
is a short hand notation for
the inverse within the space of training data
 |
(259) |
denoting
the projector into the space of training data
 |
(260) |
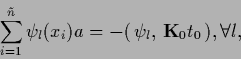
Notice that the sum is not over all
training points
but only over the
different
.
(Again for continuous
an integration around
is required
to ensure
=
).
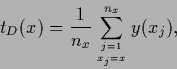
Hence, the data template
becomes the mean of
-values measured at
 |
(261) |
and
=
for
=
.
Normalization of
is not influenced by a change in
so the Lagrange multiplier terms have been skipped.
The stationarity equation is most easily obtained from (252),
 |
(262) |
It is linear and has on a space where
exists
the unique solution
 |
(263) |
We remark that
can be invertible
(and usually is so the learning problem is well defined)
even if
is not invertible.
The inverse
, necessary to calculate
,
is training data dependent
and represents the covariance operator/matrix
of a Gaussian posterior process.
In many practical cases, however, the prior covariance
(or in case of a null space a pseudo inverse of
)
is directly given or can be calculated.
Then an inversion of a finite dimensional matrix
in data space is sufficient to find the minimum of the energy
[228,76].
Invertible
:
Let us first study the case of an invertible
and consider the stationarity equation
as obtained from (248) or (250)
For existing
 |
(266) |
one can introduce
 |
(267) |
to obtain
 |
(268) |
Inserting Eq. (268) into Eq. (267) one finds
an equation for
 |
(269) |
Multiplying Eq. (269)
from the left by the projector
defined in (260)
and using
 |
(270) |
one obtains an equation in data space
 |
(271) |
where
 |
(272) |
Thus,
 |
(273) |
where
 |
(274) |
and
 |
(275) |
In components Eq. (273) reads,
 |
(276) |
Having calculated
the solution
is given by Eq. (268)
 |
(277) |
Eq. (277)
can also be obtained directly from
Eq. (263) and the definitions (254),
without introducing the auxiliary variable
,
using the decomposition
=
+
and
 |
(278) |
 |
(279) |
is also known as equivalent kernel
due to its relation to kernel smoothing techniques
[210,94,90,76].
Interestingly,
Eq. (268) still holds
for non-quadratic data terms
of the form
with any differentiable function
fulfilling
=
,
where
=
is the restriction of
to data space.
Hence, also
the function of functional derivatives
with respect to
is restricted to data space, i.e.,
=
with
=
and
.
For example,
=
with
a differentiable function.
The finite dimensional vector
is then found by solving a nonlinear equation instead of a linear one
[73,75].
Furthermore, one can study vector fields, i.e., the case where,
besides possibly
,
also
, and thus
, is a vector for given
.
(Considering the variable indicating the vector components of
as part of the
-variable,
this is a situation where a fixed number of one-dimensional
,
corresponding to a subspace of
with fixed dimension,
is always measured simultaneously.)
In that case the diagonal
of Eq. (246)
can be replaced by a version with non-zero off-diagonal elements
between the vector components
of
.
This corresponds
to a multi-dimensional Gaussian data generating probability
 |
(280) |
for
-dimensional vector
with components
.
Non-invertible
:
For non-invertible
one can solve for
using the Moore-Penrose inverse
.
Let us first recall some basic facts
[58,164,186,187,126,15,120].
A pseudo inverse
of (a possibly non-square)
is defined by the conditions
 |
(281) |
and becomes for real
the unique Moore-Penrose inverse
if
 |
(282) |
A linear equation
 |
(283) |
is solvable if
 |
(284) |
In that case the solution is
 |
(285) |
where
is solution of the homogeneous equation
and vector
is arbitrary.
Hence,
can be expanded in an orthonormalized basis
of the null space of
 |
(286) |
For a diagonal
 |
(287) |
where
is invertible,
the Moore-Penrose inverse is
 |
(288) |
For a square matrix
the product
 |
(289) |
becomes the projector on the space where
is invertible.
Similarly,
=
is the projector on the null space of
.
For a general (possible non-square)
there always exist orthogonal
and
so it can be written in orthogonal normal form
=
,
where
is of the form of Eq. (287)
[120].
The corresponding Moore-Penrose inverse is
=
.
Similarly, for an
which can be diagonalized, i.e.,
for a square matrix
=
with diagonal
,
the Moore-Penrose inverse is
=
.
From Eq. (289) it follows then that
 |
(290) |
where
=
=
projects on the space where
is invertible
and
=
=
is the projector into the null space of
.
Then from the definition (281)
it follows
 |
(291) |
Sometimes it is convenient to write
in that case
 |
(292) |
where the inversion is understood to be performed in the subspace
where
is invertible.
Expressed by projectors the solvability condition Eq. (284)
becomes
 |
(293) |
or in terms of a basis
of the null space
 |
(294) |
This means that the inhomogeneity
must have no components
within the null space of
.
Furthermore we can then write
 |
(295) |
showing that an
can be obtained by projecting an arbitrary
on the null space of
.
Collecting the results for an
which can be diagonalized,
Eq. (285)
can be expressed in terms of projection operators as follows:
 |
(296) |
Thus a solution
is obtained by inverting
in the subspace where it is invertible
and adding an arbitrary component of the null space.
Now we apply this to Eq. (265)
where
is
diagonalizable because being positive semi-definite.
(In this case
is an orthogonal matrix
and the entries of
are real and larger or equal to zero.)
Hence, one obtains under the condition
 |
(297) |
for Eq. (285)
 |
(298) |
where
=
so that
can be expanded in an orthonormalized basis
of the null space of
, assumed here
to be of finite dimension.
To find an equation in data space
define the vector
 |
(299) |
to get from Eqs.(297) and (298)
These equations have to be solved for
and the coefficients
.
Inserting Eq. (301) into the
definition (299) gives
 |
(302) |
using
=
according to Eq. (290).
Using
=
[where
,
the projector on the space of training data,
is defined in (260)]
the solvability condition (297) becomes
 |
(303) |
the sum going over different
only.
Eq. (302) for
and
reads in data space,
similar to Eq. (271),
 |
(304) |
where
=
has been assumed invertible
and
is given by the right hand side of Eq. (302).
Inserting into Eq. (301)
the solution finally can be written
 |
(305) |
Again, general non-quadratic data terms
can be allowed.
In that case
=
=
and Eq. (299)
becomes the nonlinear equation
 |
(306) |
The solution(s)
of that equation have then to be inserted
in Eq. (301).
Next: Exact predictive density
Up: Regression
Previous: Regression
  Contents
Joerg_Lemm
2001-01-21