Research
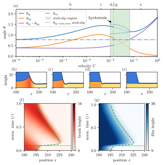
We consider complex systems that self-organize into spatio-temporal out-of-equilibrium structures, e.g., hydrodynamic flows, biophysical and chemical soft matter systems. The nonlinear interaction of their many microscopic parts often results in the spontaneous emergence of collective macroscopic behavior that can not be deduced from the behavior of the parts. Beside such nonequilibrium (active) cases, also passive limiting cases are of interest for our quest to understand the nonequilibrium phase transitions that underly multi-scale processes of self-organization in natural and artificial systems.








