

Publications from research projects of the IRTG 2678 (chronological order).
88.
Aziridination of a Single Carbon Atom in Alkenes via Energy Transfer Catalysis,
F. Paulus, C. Heusel, F. H. Wessels, B. Sikora, M. G. Niedziella, K. van der Beck, C. G. Daniliuc, F. Glorius,
Angew. Chem. Int. Ed. 2026, 65, e9774889. [doi:10.1002/anie.9774889]
F. Paulus, C. Heusel, F. H. Wessels, B. Sikora, M. G. Niedziella, K. van der Beck, C. G. Daniliuc, F. Glorius,
Angew. Chem. Int. Ed. 2026, 65, e9774889. [doi:10.1002/anie.9774889]

87.
Photocatalytic, Regioselective Enone Deconjugation: An Enabling Platform for Terpene Modification,
L. Blank, C. Mück-Lichtenfeld, C. G. Daniliuc, R. Gilmour,
J. Am. Chem. Soc. 2026, 148, 15228-15235. [doi:10.1021/jacs.6c02442]
L. Blank, C. Mück-Lichtenfeld, C. G. Daniliuc, R. Gilmour,
J. Am. Chem. Soc. 2026, 148, 15228-15235. [doi:10.1021/jacs.6c02442]

86.
N,N’-Dialkylated Oxo-Verdazyl Radicals as Bipolar Organic Molecules for Symmetric Redox Flow Batteries,
E. S. Horst, K. Sowa, L. Lezius, N. Fehlings, C. Daniliuc, S. Nowak, M. Grünebaum, M. Winter, A. Studer,
ChemElectroChem 2026, 13, e202500465. [doi:10.1002/celc.202500465]
E. S. Horst, K. Sowa, L. Lezius, N. Fehlings, C. Daniliuc, S. Nowak, M. Grünebaum, M. Winter, A. Studer,
ChemElectroChem 2026, 13, e202500465. [doi:10.1002/celc.202500465]

85.
Photochromic Cholesteric Liquid Crystals via Arylazopyrazole Functionalization of Hydroxypropyl Cellulose,
S. G. Fine, N. Hildenhagen, W. R. Linke, M. R. Hansen, B. J. Ravoo, C. A. C. Chazot,
Adv. Mater. 2026, 38, e20457. [doi:10.1002/adma.202520457]
S. G. Fine, N. Hildenhagen, W. R. Linke, M. R. Hansen, B. J. Ravoo, C. A. C. Chazot,
Adv. Mater. 2026, 38, e20457. [doi:10.1002/adma.202520457]

84.
Positional Alkene Photo-Isomerization,
L. Blank, R.Gilmour,
ACS Catal. 2026, 16, 4125-4138. [doi:10.1021/acscatal.6c00322]
L. Blank, R.Gilmour,
ACS Catal. 2026, 16, 4125-4138. [doi:10.1021/acscatal.6c00322]

83.
Machine-learning-guided screening of organic photosensitizers accelerated by domain adaptation,
H. Ikemura, N. Noto, R. Akiba, T. Rohlfs, Y. Masuda, Y. Sumida, O. García Mancheño, T. Hosoya, H. Ohmiya, M. Sawamura, S. Saito,
Cell Rep. Phys. Sci 2026, 8, 103141. [doi:10.1016/j.xcrp.2026.103141]
H. Ikemura, N. Noto, R. Akiba, T. Rohlfs, Y. Masuda, Y. Sumida, O. García Mancheño, T. Hosoya, H. Ohmiya, M. Sawamura, S. Saito,
Cell Rep. Phys. Sci 2026, 8, 103141. [doi:10.1016/j.xcrp.2026.103141]

82.
Electron Donor–Acceptor Complexes Without Preinstalled Sacrificial Leaving Groups: Applications in Synthesis,
W. Liu, L. Næsborg,
Helv. Chim. Acta 2026, 108, e00168. [doi:10.1002/hlca.202500168]
W. Liu, L. Næsborg,
Helv. Chim. Acta 2026, 108, e00168. [doi:10.1002/hlca.202500168]

81.
Data-driven approach to elucidate the correlation between photocatalytic activity and rate constants from excited states,
R. Kunisada, M. Hayashi, T. Rohlfs, T. Nagano, K. Sano, N. Inai, N. Noto, T. Ogaki, Y. Matsui, H. Ikeda, O. Garcia Mancheño, T. Yanai, S. Saito,
Chem. Sci. 2026, 16, 176-186. [doi:10.1039/D5SC06465A]
R. Kunisada, M. Hayashi, T. Rohlfs, T. Nagano, K. Sano, N. Inai, N. Noto, T. Ogaki, Y. Matsui, H. Ikeda, O. Garcia Mancheño, T. Yanai, S. Saito,
Chem. Sci. 2026, 16, 176-186. [doi:10.1039/D5SC06465A]

80.
Reductive rearrangement of substituted quinolines to 2,3-disubstituted indoles enabled by water activation ,
N. Spreckelmeyer, J. Kim, J. Lammert, E. S. Horst, J. Zhang, A. Studer,
Chem. Sci. 2026, 17, 3775-3782. [doi:10.1039/D5SC08793G]
N. Spreckelmeyer, J. Kim, J. Lammert, E. S. Horst, J. Zhang, A. Studer,
Chem. Sci. 2026, 17, 3775-3782. [doi:10.1039/D5SC08793G]

79.
Reaction of Blatter and Verdazyl Radicals with Arynes: Synthesis and Investigation of N-Chiral, Antiaromatic Triazines and Tetrazinones,
L. Lezius, E. S. Horst, M. Scherübl, J. Lammert, C. G. Daniliuc, T. Mori, S. Yamaguchi, A. Studer,
Angew. Chem. Int. Ed. 2026, 65, e20021. [doi:10.1002/anie.202520021];
selected as Hot Paper
L. Lezius, E. S. Horst, M. Scherübl, J. Lammert, C. G. Daniliuc, T. Mori, S. Yamaguchi, A. Studer,
Angew. Chem. Int. Ed. 2026, 65, e20021. [doi:10.1002/anie.202520021];
selected as Hot Paper

78.
Accuracy and Limitations of the Pair-Selected Multi-Level Approach for DLPNO Coupled Cluster: Extensive Benchmark for Closed-Shell Organic Reactions,
N. Gurav, N. Ramez, L. Lampe, J. Neugebauer,
ChemPhysChem 2025, 26, e202500246. [doi:10.1002/cphc.202500246]
N. Gurav, N. Ramez, L. Lampe, J. Neugebauer,
ChemPhysChem 2025, 26, e202500246. [doi:10.1002/cphc.202500246]

77.
Large-Scale Modeling of Proton-Coupled Electron Transfer Based on Block-Localized Kohn-Sham Orbitals,
L. Lampe, T. Yanai, J. Neugebauer,
J. Chem. Theory Comput. 2025, 21, 12545-12556. [doi:10.1021/acs.jctc.5c01287]
L. Lampe, T. Yanai, J. Neugebauer,
J. Chem. Theory Comput. 2025, 21, 12545-12556. [doi:10.1021/acs.jctc.5c01287]

76.
Long-lived room temperature phosphorescence in aqueous micellar systems: application in cyclobutane synthesis ,
G. Pölderl, J. C. G. Kürschner, A. Kondrateva, A. Albers, M. Schönhoff, F. Rizzo, L. D. Næsborg,
J. Mater. Chem. A 2025, 13, 41698-41706. [doi:10.1039/D5TA05567A]
G. Pölderl, J. C. G. Kürschner, A. Kondrateva, A. Albers, M. Schönhoff, F. Rizzo, L. D. Næsborg,
J. Mater. Chem. A 2025, 13, 41698-41706. [doi:10.1039/D5TA05567A]

75.
Azobisheteroarene photoswitches based on isoxazoles and pyrazoles: tunable photostationary states, slow thermal relaxation and sensitization under confinement ,
M. D. Seyfried, J. Gemen, L. Wyszynski, C. Giard, C. G. Daniliuc, M. Schönhoff, N. Doltsinis, F. Glorius, B. J. Ravoo,
Chem. Sci. 2025, 16, 19448-19455. [doi:10.1039/D5SC04412J]
M. D. Seyfried, J. Gemen, L. Wyszynski, C. Giard, C. G. Daniliuc, M. Schönhoff, N. Doltsinis, F. Glorius, B. J. Ravoo,
Chem. Sci. 2025, 16, 19448-19455. [doi:10.1039/D5SC04412J]

74.
Photoregulation of the Chiral Nematic Phase by Using a Hexa-Arylazopyrazole-Substituted Co(III) Complex,
H. Q. Trân, S.-i. Kawano, J. Yoshida, K. Tanaka, B. J. Ravoo,
Precis. Chem. 2025, 3, 786-792. [doi:10.1021/prechem.5c00070]
H. Q. Trân, S.-i. Kawano, J. Yoshida, K. Tanaka, B. J. Ravoo,
Precis. Chem. 2025, 3, 786-792. [doi:10.1021/prechem.5c00070]

73.
Privileged Chiral Photocatalysts,
E. Studer, S. Mandal, T. Stünkel, R. Gilmour,
Angew. Chem. Int. Ed. 2025, 64, e202513320. [doi:10.1002/anie.202513320]
E. Studer, S. Mandal, T. Stünkel, R. Gilmour,
Angew. Chem. Int. Ed. 2025, 64, e202513320. [doi:10.1002/anie.202513320]

72.
Radical C─H-Aroylation of Allenes via Cooperative Photoredox and N-Heterocyclic Carbene Catalysis,
S. K. Banjare, L. Lezius, A. Studer,
Angew. Chem. Int. Ed. 2025, 64, e202511689. [doi:10.1002/anie.202511689];
selected as Hot Paper
S. K. Banjare, L. Lezius, A. Studer,
Angew. Chem. Int. Ed. 2025, 64, e202511689. [doi:10.1002/anie.202511689];
selected as Hot Paper

71.
Excited state dipole moments from ΔSCF: a benchmark,
L. Paetow, J. Neugebauer,
Phys. Chem. Chem. Phys. 2025, 27, 16354-16370. [doi:10.1039/D5CP01695A];
selected for 2025 PCCP HOT Articles
L. Paetow, J. Neugebauer,
Phys. Chem. Chem. Phys. 2025, 27, 16354-16370. [doi:10.1039/D5CP01695A];
selected for 2025 PCCP HOT Articles

70.
How to Construct Diabatic States for Energy and Charge Transfer with Subsystem Quantum Chemistry─A Tutorial,
A. Rikus, S. Käfer, L. Lampe, C. Mück-Lichtenfeld, J. Neugebauer,
J. Phys. Chem. A 2025, 129, 7238-7250. [doi:10.1021/acs.jpca.5c02956]
A. Rikus, S. Käfer, L. Lampe, C. Mück-Lichtenfeld, J. Neugebauer,
J. Phys. Chem. A 2025, 129, 7238-7250. [doi:10.1021/acs.jpca.5c02956]

69.
Photocaged Dinucleoside Tetraphosphates for Light-Mediated Activation of 5′ Cap Interactions and Translation In Vitro,
C. Kühling, W. Teich, B. Terzi, H. Schepers, S. Hüwel, A. Rentmeister,
ChemistryEurope 2025, 3, e202500178. [doi:10.1002/ceur.202500178]
C. Kühling, W. Teich, B. Terzi, H. Schepers, S. Hüwel, A. Rentmeister,
ChemistryEurope 2025, 3, e202500178. [doi:10.1002/ceur.202500178]

68.
Energy Transfer-Enabled Enantioselective Photocyclization using a Privileged Al-Salen Catalyst,
J. Soika, C. Onneken, T. Wiegmann, T. Stünkel, T. Morack, L. Lindfeld, M. Hebenbrock, C. Mück-Lichtenfeld, J. Neugebauer, R. Gilmour,
Nat. Chem. 2025, 17, 1383-1390. [doi:10.1038/s41557-025-01857-1]
J. Soika, C. Onneken, T. Wiegmann, T. Stünkel, T. Morack, L. Lindfeld, M. Hebenbrock, C. Mück-Lichtenfeld, J. Neugebauer, R. Gilmour,
Nat. Chem. 2025, 17, 1383-1390. [doi:10.1038/s41557-025-01857-1]

67.
Regiodivergent Photocatalytic Annulation for the Synthesis of gem-Difluorinated Cyclic Hydrocarbons,
T. E. Schirmer, J. C. G. Kürschner, Y. Uchida, Y. Taura, P. Gabriel, L. Næsborg, D. Yokogawa, Y. Aramaki, T. Ooi,
Angew. Chem. Int. Ed. 2025, 64, e202502450. [doi:10.1002/anie.202502450]
T. E. Schirmer, J. C. G. Kürschner, Y. Uchida, Y. Taura, P. Gabriel, L. Næsborg, D. Yokogawa, Y. Aramaki, T. Ooi,
Angew. Chem. Int. Ed. 2025, 64, e202502450. [doi:10.1002/anie.202502450]

66.
Orthogonal Photoswitching in Nematic Liquid Crystals,
H. Q. Trân, B. J. Ravoo,
Chem. Eur. J. 2025, 31, e202501851. [doi:10.1002/chem.202501851]
H. Q. Trân, B. J. Ravoo,
Chem. Eur. J. 2025, 31, e202501851. [doi:10.1002/chem.202501851]

65.
Cycloparaazine, a full-azine carbon nanoring,
T. Drennhaus, D. Imoto, E. S. Horst, L. Lezius, H. Shudo, T. Kato, K. Bergander, C. G. Daniliuc, D. Leifert, A. Yagi, A. Studer, K. Itami,
Nat. Commun. 2025, 16, 4643. [doi:10.1038/s41467-025-59934-5]
T. Drennhaus, D. Imoto, E. S. Horst, L. Lezius, H. Shudo, T. Kato, K. Bergander, C. G. Daniliuc, D. Leifert, A. Yagi, A. Studer, K. Itami,
Nat. Commun. 2025, 16, 4643. [doi:10.1038/s41467-025-59934-5]

64.
Radical Addition to 2-Allenylaryl Isocyanides for the Preparation of 2,3-Difunctionalized Quinolines,
T. Drennhaus, J. Birschel, C. G. Daniliuc, D. Leifert, A. Studer,
Org. Lett. 2025, 27, 5675-5680. [doi:10.1021/acs.orglett.5c01436]
T. Drennhaus, J. Birschel, C. G. Daniliuc, D. Leifert, A. Studer,
Org. Lett. 2025, 27, 5675-5680. [doi:10.1021/acs.orglett.5c01436]

63.
Zwitterionic Acridinium Amidate for Photocatalytic Acceptorless Dehydrogenation,
S. Mori, L.-M. Entgelmeier, Y. Kansaku, D. A. Truong, O. García Mancheño, K. Ohmatsu, T. Ooi,
Synlett 2025, 57, 1739-1742. [doi:10.1055/a-2596-9970]
S. Mori, L.-M. Entgelmeier, Y. Kansaku, D. A. Truong, O. García Mancheño, K. Ohmatsu, T. Ooi,
Synlett 2025, 57, 1739-1742. [doi:10.1055/a-2596-9970]

62.
closo-Carboranyl Analogs of β-Arylethylamines: Direct Synthesis from Alkenes via EnT-Catalysis,
F. Paulus, C. Heusel, M. Jaspers, L. M. Amrehn, F. Schreiner, D. Rana, C. G. Daniliuc, M. R. Hansen, F. Glorius,
Angew. Chem. Int. Ed. 2025, 64, e202504793. [doi:10.1002/anie.202504793]
F. Paulus, C. Heusel, M. Jaspers, L. M. Amrehn, F. Schreiner, D. Rana, C. G. Daniliuc, M. R. Hansen, F. Glorius,
Angew. Chem. Int. Ed. 2025, 64, e202504793. [doi:10.1002/anie.202504793]

61.
Stable cationic nanobelts synthesized by chemical oxidation of methylene-bridged [6]cycloparaphenylene,
N. Kai, H. Kono, T. Stünkel, D. Imoto, R. Zanasi, G. Monaco, F. F. Summa, L. T. Scott, A. Yagi, K. Itami,
Chem. Sci. 2025, 16, 9195-9202. [doi:10.1039/D5SC01305D]
N. Kai, H. Kono, T. Stünkel, D. Imoto, R. Zanasi, G. Monaco, F. F. Summa, L. T. Scott, A. Yagi, K. Itami,
Chem. Sci. 2025, 16, 9195-9202. [doi:10.1039/D5SC01305D]

60.
Photocatalytic Hydrogenation of Quinolines To Form 1,2,3,4-Tetrahdyroquinolines Using Water as the Hydrogen Atom Donor,
J. Zhang, N. Spreckelmeyer, J. Lammert, M.-A. Wiethoff, M. J. Milner, C. Mück-Lichtenfeld, A. Studer,
Angew. Chem. Int. Ed. 2025, 64, e202502864. [doi:10.1002/anie.202502864]
J. Zhang, N. Spreckelmeyer, J. Lammert, M.-A. Wiethoff, M. J. Milner, C. Mück-Lichtenfeld, A. Studer,
Angew. Chem. Int. Ed. 2025, 64, e202502864. [doi:10.1002/anie.202502864]

59.
Enantioselective Anion-Binding-Catalyzed Nucleophilic Addition to 4-Quinolones,
M. Aleksiev, G. Khassenova, O. García Mancheño,
Eur. J. Org. Chem. 2025, 28, e202500383. [doi:10.1002/ejoc.202500383]
M. Aleksiev, G. Khassenova, O. García Mancheño,
Eur. J. Org. Chem. 2025, 28, e202500383. [doi:10.1002/ejoc.202500383]

58.
Functionalization and solubilization of polycyclic aromatic compounds by sulfoniumization,
J. E. Erchinger, T. Okumura, K. Nakata, D. Shimizu, C. G. Daniliuc, K. Amaike, F. Glorius, K. Itami, H. Ito,
Chem. Sci. 2025, 16, 8262-8267. [doi:10.1039/D5SC01415H]
J. E. Erchinger, T. Okumura, K. Nakata, D. Shimizu, C. G. Daniliuc, K. Amaike, F. Glorius, K. Itami, H. Ito,
Chem. Sci. 2025, 16, 8262-8267. [doi:10.1039/D5SC01415H]

57.
Transfer learning across different photocatalytic organic reactions,
N. Noto, R. Kunisada, T. Rohlfs, M. Hayashi, R. Kojima, O. García Mancheño, T. Yanai, S. Saito,
Nat. Commun. 2025, 16, 3388. [doi:10.1038/s41467-025-58687-5]
N. Noto, R. Kunisada, T. Rohlfs, M. Hayashi, R. Kojima, O. García Mancheño, T. Yanai, S. Saito,
Nat. Commun. 2025, 16, 3388. [doi:10.1038/s41467-025-58687-5]

56.
Photocatalytic Generation of a Ground-State Electron Donor Through Water Activation,
M.-A. Wiethoff, L. Lezius, A. Studer,
Angew. Chem. Int. Ed. 2025, 64, e202501757. [doi:10.1002/anie.202501757];
selected as VIP Paper
M.-A. Wiethoff, L. Lezius, A. Studer,
Angew. Chem. Int. Ed. 2025, 64, e202501757. [doi:10.1002/anie.202501757];
selected as VIP Paper

55.
Deconjugative Photoisomerization of Cyclic Enones,
L. Blank, J. Kim, C. G. Daniliuc, A. Goetzinger, M.-A. Müller, J. Schütz, B. Wuestenberg, R. Gilmour,
J. Am. Chem. Soc. 2025, 147, 10023-10030. [doi:10.1021/jacs.5c01814]
L. Blank, J. Kim, C. G. Daniliuc, A. Goetzinger, M.-A. Müller, J. Schütz, B. Wuestenberg, R. Gilmour,
J. Am. Chem. Soc. 2025, 147, 10023-10030. [doi:10.1021/jacs.5c01814]

54.
Thiophene-fused aromatic belts,
H. Shudo, P. Wiesener, E. Kolodzeiski, K. Mizukami, D. Imoto, H. Mönig, S. Amirjalayer, H. Sakamoto, H. Klaasen, B. J. Ravoo, N. Kimizuka, A. Yagi, K. Itami,
Nat. Commun. 2025, 16, 1074. [doi:10.1038/s41467-025-55896-w]
H. Shudo, P. Wiesener, E. Kolodzeiski, K. Mizukami, D. Imoto, H. Mönig, S. Amirjalayer, H. Sakamoto, H. Klaasen, B. J. Ravoo, N. Kimizuka, A. Yagi, K. Itami,
Nat. Commun. 2025, 16, 1074. [doi:10.1038/s41467-025-55896-w]

53.
Mechanistic insights into the regiodivergent insertion of bicyclo[1.1.0]butanes towards carbocycle-tethered N-heteroarenes,
J. E. Erchinger, M. Lenz, P. Mukherjee, Y.-B. Li, A. Suresh, C. G. Daniliuc, O. Gutierrez, F. Glorius,
Chem. Sci. 2025, 16, 4006-4013. [doi:10.1039/D4SC08637F]
J. E. Erchinger, M. Lenz, P. Mukherjee, Y.-B. Li, A. Suresh, C. G. Daniliuc, O. Gutierrez, F. Glorius,
Chem. Sci. 2025, 16, 4006-4013. [doi:10.1039/D4SC08637F]

52.
EDA complexation of two donor molecules initiating radical cation cyclizations,
J. Kürschner, M. Utikal, L. Lezius, R. Jeyaseelan, L. D. Næsborg,
Synthesis 2025, 57, 2105-2114. [doi:10.1055/a-2518-0987]
J. Kürschner, M. Utikal, L. Lezius, R. Jeyaseelan, L. D. Næsborg,
Synthesis 2025, 57, 2105-2114. [doi:10.1055/a-2518-0987]

51.
A General Three-Component Nozaki–Hiyama–Kishi-Type Reaction Enabled by Delayed Radical-Polar Crossover,
Y.-B. Li, M. Xu, L. A. Kellermann, J. E. Erchinger, S. Dutta, C. G. Daniliuc, X. Qi, F. Glorius,
J. Am. Chem. Soc. 2025, 147, 2642-2652. [doi:10.1021/jacs.4c14913]
Y.-B. Li, M. Xu, L. A. Kellermann, J. E. Erchinger, S. Dutta, C. G. Daniliuc, X. Qi, F. Glorius,
J. Am. Chem. Soc. 2025, 147, 2642-2652. [doi:10.1021/jacs.4c14913]

50.
Methyl viologen as a catalytic acceptor for electron donor-acceptor photoinduced cyclization reactions ,
R. Jeyaseelan, W. Liu, J. Zumbusch. L. D. Næsborg,
Green Chem. 2025, 27, 1969-1973. [doi:10.1039/D4GC05481D]
R. Jeyaseelan, W. Liu, J. Zumbusch. L. D. Næsborg,
Green Chem. 2025, 27, 1969-1973. [doi:10.1039/D4GC05481D]

49.
Phenol (bio)isosteres in drug design and development,
C. Dunker, K. Schlegel, A. Junker,
Arch. Pharm. 2025, 358, e2400700. [doi:10.1002/ardp.202400700]
C. Dunker, K. Schlegel, A. Junker,
Arch. Pharm. 2025, 358, e2400700. [doi:10.1002/ardp.202400700]

48.
Impact of boron desymmetrization on supramolecular polymerization of BODIPY dyes,
T. B. Tischer, Z. Fernández, L. Borsdorf, C. G. Daniliuc, S. Yamaguchi, S. Ogi, G. Fernández,
Org. Chem. Front 2025, 11, 414-421. [doi:10.1039/D4QO01848F];
selected for 2024 Organic Chemistry Frontiers HOT articles
T. B. Tischer, Z. Fernández, L. Borsdorf, C. G. Daniliuc, S. Yamaguchi, S. Ogi, G. Fernández,
Org. Chem. Front 2025, 11, 414-421. [doi:10.1039/D4QO01848F];
selected for 2024 Organic Chemistry Frontiers HOT articles

47.
Anomeric Amide-Enabled Alkene-Arene and Alkene-Alkene Aminative Coupling,
C. Stein, J. L. Tyler, J. Wiener, F. Boser, C. G. Daniliuc, F. Glorius,
Angew. Chem. Int. Ed. 2024, 63, e202418141. [doi:10.1002/ange.202418141]
C. Stein, J. L. Tyler, J. Wiener, F. Boser, C. G. Daniliuc, F. Glorius,
Angew. Chem. Int. Ed. 2024, 63, e202418141. [doi:10.1002/ange.202418141]

46.
Automatic Orbital Pair Selection for Multilevel Local Coupled-Cluster Based on Orbital Maps,
L. Lampe, J. Neugebauer,
J. Chem. Theory Comput. 2024, 20, 9407-9423. [doi:10.1021/acs.jctc.4c00885]
L. Lampe, J. Neugebauer,
J. Chem. Theory Comput. 2024, 20, 9407-9423. [doi:10.1021/acs.jctc.4c00885]

45.
Zwitterionic Acridinium Amidate: A Nitrogen-Centered Radical Catalyst for Photoinduced Direct Hydrogen Atom Transfer,
L.-M. Entgelmeier, S. Mori, S. Sendo, R. Yamaguchi, R. Suzuki, T. Yanai, O. García Mancheño, K. Ohmatsu, T. Ooi,
Angew. Chem. Int. Ed. 2024, 63, e202404890. [doi:10.1002/anie.202404890];
selected as VIP Paper
L.-M. Entgelmeier, S. Mori, S. Sendo, R. Yamaguchi, R. Suzuki, T. Yanai, O. García Mancheño, K. Ohmatsu, T. Ooi,
Angew. Chem. Int. Ed. 2024, 63, e202404890. [doi:10.1002/anie.202404890];
selected as VIP Paper

44.
Pathway-dependent supramolecular polymerization by planarity breaking,
R. M. Veedu, Z. Fernandez, N. Bäumer, A. Albers, G. Fernandez,
Chem. Sci. 2024, 15, 10745-10752 . [doi:10.1039/D4SC02499K];
selected for 2024 Chemical Science HOT Article Collection and Most popular 2024 polymer and supramolecular chemistry articles
R. M. Veedu, Z. Fernandez, N. Bäumer, A. Albers, G. Fernandez,
Chem. Sci. 2024, 15, 10745-10752 . [doi:10.1039/D4SC02499K];
selected for 2024 Chemical Science HOT Article Collection and Most popular 2024 polymer and supramolecular chemistry articles

43.
Evolution of the ionisation energy with the stepwise growth of chiral clusters of [4]helicene,
S. R. Domingos, D. S. Tikhonov, A. L. Steber, P. Eschenbach, S. Gruet, H. R. Hrodmarsson, K. Martin, G. A. Garcia, L. Nahon, J. Neugebauer, N. Avarvari, M. Schnell,
Nat. Commun. 2024, 15, 4928. [doi:10.1038/s41467-024-48778-0]
S. R. Domingos, D. S. Tikhonov, A. L. Steber, P. Eschenbach, S. Gruet, H. R. Hrodmarsson, K. Martin, G. A. Garcia, L. Nahon, J. Neugebauer, N. Avarvari, M. Schnell,
Nat. Commun. 2024, 15, 4928. [doi:10.1038/s41467-024-48778-0]

42.
Bicyclo[1.1.0]butyl Radical Cations: Synthesis and Application to [2π + 2σ] Cycloaddition Reactions,
J. L. Tyler, F. Schäfer, H. Shao, C. Stein, A. Wong, C. G. Daniliuc, K. N. Houk, F. Glorius,
J. Am. Chem. Soc. 2025, 146, 16237-16247. [doi:10.1021/jacs.4c04403]
J. L. Tyler, F. Schäfer, H. Shao, C. Stein, A. Wong, C. G. Daniliuc, K. N. Houk, F. Glorius,
J. Am. Chem. Soc. 2025, 146, 16237-16247. [doi:10.1021/jacs.4c04403]

41.
Thermal and photoinduced radical cascade annulation using aryl isonitriles: An approach to quinoline-derived benzophosphole oxides,
S. K. Banjare, L. Lezius, E. S. Horst, D. Leifert, C. G. Daniliuc, F. A. Alasmary, A. Studer,
Angew. Chem. Int. Ed. 2024, 63, e202404275. [doi:10.1002/anie.202404275]
S. K. Banjare, L. Lezius, E. S. Horst, D. Leifert, C. G. Daniliuc, F. A. Alasmary, A. Studer,
Angew. Chem. Int. Ed. 2024, 63, e202404275. [doi:10.1002/anie.202404275]

40.
Regio- and Stereo-Selective Isomerization of Borylated 1,3-Dienes Enabled by Selective Energy Transfer Catalysis,
B. Kweon, L. Blank, J. Soika, A. Messara, C. Daniliuc, R. Gilmour,
Angew. Chem. Int. Ed. 2024, 63, e202404233. [doi:10.1002/anie.202404233];
selected as Hot Paper
B. Kweon, L. Blank, J. Soika, A. Messara, C. Daniliuc, R. Gilmour,
Angew. Chem. Int. Ed. 2024, 63, e202404233. [doi:10.1002/anie.202404233];
selected as Hot Paper

39.
Double Strain-Release [2π+2σ]-Photocycloaddition,
S. Dutta, Y.-L. Lu, J. E. Erchinger, H. Shao, E. Studer, F. Schäfer, H. Wang, D. Rana, C. G. Daniliuc, K. N. Houk, F. Glorius,
J. Am. Chem. Soc. 2024, 146, 5232-5241. [doi:10.1021/jacs.3c11563]
S. Dutta, Y.-L. Lu, J. E. Erchinger, H. Shao, E. Studer, F. Schäfer, H. Wang, D. Rana, C. G. Daniliuc, K. N. Houk, F. Glorius,
J. Am. Chem. Soc. 2024, 146, 5232-5241. [doi:10.1021/jacs.3c11563]

38.
Energy transfer photocatalysis: exciting modes of reactivity ,
S. Dutta, J. E. Erchinger, F. Strieth-Kalkhoff, R. Kleinmans, F. Glorius,
Chem. Soc. Rev. 2024, 53, 1068-1089. [doi:10.1039/D3CS00190C]
S. Dutta, J. E. Erchinger, F. Strieth-Kalkhoff, R. Kleinmans, F. Glorius,
Chem. Soc. Rev. 2024, 53, 1068-1089. [doi:10.1039/D3CS00190C]

37.
Borylative transition metal-free couplings of vinyl iodides with various nucleophiles, alkenes or alkynes,
G. Seidler, M. Schwenzer, F. Clausen, C. G. Daniliuc, A. Studer,
Chem. Sci. 2024, 15, 1672-1678. [doi:10.1039/D3SC06131K];
selected for 2024 Chemical Science HOT Article Collection
G. Seidler, M. Schwenzer, F. Clausen, C. G. Daniliuc, A. Studer,
Chem. Sci. 2024, 15, 1672-1678. [doi:10.1039/D3SC06131K];
selected for 2024 Chemical Science HOT Article Collection

36.
Visible-Light-Mediated Selective Allylic C–H Oxygenation of Cycloalkenes,
T. Rohlfs, L. Gerken, J. L. Nova-Fernández, S. Malagón, M. Uygur, S. Cabrera, J. Alemán, O. García Mancheño,
Synlett 2024, 35, 1047-1051. [doi:10.1055/a-2219-6907]
T. Rohlfs, L. Gerken, J. L. Nova-Fernández, S. Malagón, M. Uygur, S. Cabrera, J. Alemán, O. García Mancheño,
Synlett 2024, 35, 1047-1051. [doi:10.1055/a-2219-6907]

35.
Aminoacylation of Alkenes by Cooperative NHC and Photoredox Catalysis,
L. Lezius, J. Reimler, N. Döben, M. Hamm. C. G. Daniliuc, A. Studer,
Synlett 2024, 36, 445-450. [doi:10.1055/a-2145-8697]
L. Lezius, J. Reimler, N. Döben, M. Hamm. C. G. Daniliuc, A. Studer,
Synlett 2024, 36, 445-450. [doi:10.1055/a-2145-8697]

34.
Calamitic Liquid Crystals for Reversible Light-Modulated Phase Regulation Based on Arylazopyrazole Photoswitches,
H. Q. Trân, S. Kawano, R. E. Thielemann, K. Tanaka, B. J. Ravoo,
Chem. Eur. J. 2024, 30, e202302958. [doi:10.1002/chem.202302958];
selected as Hot Paper
highlighted with Cover Profile.
H. Q. Trân, S. Kawano, R. E. Thielemann, K. Tanaka, B. J. Ravoo,
Chem. Eur. J. 2024, 30, e202302958. [doi:10.1002/chem.202302958];
selected as Hot Paper
highlighted with Cover Profile.

33.
para-Selective dearomatization of phenols by I(i)/I(iii) catalysis-based fluorination,
T. Stünkel, K. Siebold, D. Okumatsu, K. Okumatsu, K. Murata, L. Ruyet, C. G. Daniliuc, R. Gilmour,
Chem. Sci. 2023, 14, 13574-13580. [doi:10.1039/D3SC05952A]
T. Stünkel, K. Siebold, D. Okumatsu, K. Okumatsu, K. Murata, L. Ruyet, C. G. Daniliuc, R. Gilmour,
Chem. Sci. 2023, 14, 13574-13580. [doi:10.1039/D3SC05952A]

32.
Three-Component Photochemical 1,2,5-Trifunctionalizations of Alkenes toward Densely Functionalized Lynchpins,
F. Paulus, C. Stein, C. Heusel, T. J. Stoffels, C. G. Daniliuc, F. Glorius,
J. Am. Chem. Soc. 2023, 145, 23814–23823. [doi:10.1021/jacs.3c08898]
F. Paulus, C. Stein, C. Heusel, T. J. Stoffels, C. G. Daniliuc, F. Glorius,
J. Am. Chem. Soc. 2023, 145, 23814–23823. [doi:10.1021/jacs.3c08898]

31.
syn-Selective Difunctionalization of Bicyclobutanes Enabled by Photoredox-Mediated C–S σ-Bond Scission,
H. Wang, J. E. Erchinger, M. Lenz, S. Dutta, C. G. Daniliuc, F. Glorius,
J. Am. Chem. Soc. 2023, 145, 23771–23780. [doi:10.1021/jacs.3c08512]
H. Wang, J. E. Erchinger, M. Lenz, S. Dutta, C. G. Daniliuc, F. Glorius,
J. Am. Chem. Soc. 2023, 145, 23771–23780. [doi:10.1021/jacs.3c08512]

30.
Sterically Allowed H-type Supramolecular Polymerizations,
R. M. Veedu, N. Niemeyer, N. Bäumer, K. K. Kalathil, J. Neugebauer, G.Fernandez,
Angew. Chem. Int. Ed. 2023, 62, e202314211. [doi:10.1002/anie.202314211];
selected as Hot Paper
R. M. Veedu, N. Niemeyer, N. Bäumer, K. K. Kalathil, J. Neugebauer, G.Fernandez,
Angew. Chem. Int. Ed. 2023, 62, e202314211. [doi:10.1002/anie.202314211];
selected as Hot Paper

29.
Water-Soluble Arylazoisoxazole Photoswitches,
F. Höglsperger, F. A. Larik, C. Bai, M. D. Seyfried, C. Daniliuc, H. Klaasen, P. Thordarson, J. E. Beves, B. J. Ravoo,
Chem. Eur. J. 2023, 29, e202302069. [doi:10.1002/chem.202302069];
selected as Hot Paper
F. Höglsperger, F. A. Larik, C. Bai, M. D. Seyfried, C. Daniliuc, H. Klaasen, P. Thordarson, J. E. Beves, B. J. Ravoo,
Chem. Eur. J. 2023, 29, e202302069. [doi:10.1002/chem.202302069];
selected as Hot Paper

28.
Amphiphile desymmetrisation-induced steric relief governs self-assembly pathways in aqueous media,
N. Bäumer, S. Ogi, L. Borsdorf, S. Yamaguchi, G. Fernández,
Chem. Commun. 2023, 59, 8937–8940. [doi:10.1039/D3CC02297H];
selected for Chemical Communications HOT Article Collection 2023
N. Bäumer, S. Ogi, L. Borsdorf, S. Yamaguchi, G. Fernández,
Chem. Commun. 2023, 59, 8937–8940. [doi:10.1039/D3CC02297H];
selected for Chemical Communications HOT Article Collection 2023

27.
Catalytic Formal [2π+2σ] Cycloaddition of Aldehydes with Bicyclobutanes: Expedient Access to Polysubstituted 2-Oxabicyclo[2.1.1]hexanes,
Y. Liang, F. Paulus, C. G. Daniliuc, F. Glorius,
Angew. Chem. Int. Ed. 2023, 62, e202305043. [doi:10.1002/anie.202305043]
Y. Liang, F. Paulus, C. G. Daniliuc, F. Glorius,
Angew. Chem. Int. Ed. 2023, 62, e202305043. [doi:10.1002/anie.202305043]

26.
Azoheteroarene and Diazocine Molecular Photoswitches: Self-Assembly, Responsive Materials and Photopharmacology,
A. Mukherjee, M. D. Seyfried, B. J. Ravoo,
Angew. Chem. Int. Ed. 2023, 62, e202304437. [doi:10.1002/anie.202304437]
A. Mukherjee, M. D. Seyfried, B. J. Ravoo,
Angew. Chem. Int. Ed. 2023, 62, e202304437. [doi:10.1002/anie.202304437]

25.
Massively parallel fragment-based quantum chemistry for large molecular systems: the serestipy software,
P. Eschenbach, N. Niemeyer, J. Neugebauer,
Can. J. Chem. 2023, 101, 641-655. [doi:10.1139/cjc-2022-0243]
P. Eschenbach, N. Niemeyer, J. Neugebauer,
Can. J. Chem. 2023, 101, 641-655. [doi:10.1139/cjc-2022-0243]
24.
Pathway-Controlled Aqueous Supramolecular Polymerization via Solvent-Dependent Chain Conformation Effects,
L. Borsdorf, L. Herkert, N. Bäumer, L. Rubert, B. Soberats, P. A. Korevaar, C. Bourque, C. Gatsogiannis, G. Fernández,
J. Am. Chem. Soc. 2023, 145, 8882-8895. [doi:10.1021/jacs.2c12442]
L. Borsdorf, L. Herkert, N. Bäumer, L. Rubert, B. Soberats, P. A. Korevaar, C. Bourque, C. Gatsogiannis, G. Fernández,
J. Am. Chem. Soc. 2023, 145, 8882-8895. [doi:10.1021/jacs.2c12442]

23.
Enantioselective Copper-Catalyzed Fukuyama Indole Synthesis from 2-Vinylphenyl Isocyanides,
T. Drennhaus, D. Leifert, J. Lammert, J. P. Drennhaus, K. Bergander, C. G. Daniliuc, A. Studer,
J. Am. Chem. Soc. 2023, 145, 8665-8676. [doi:10.1021/jacs.3c01667]
T. Drennhaus, D. Leifert, J. Lammert, J. P. Drennhaus, K. Bergander, C. G. Daniliuc, A. Studer,
J. Am. Chem. Soc. 2023, 145, 8665-8676. [doi:10.1021/jacs.3c01667]

22.
Facilitating [2+2] Photocycloadditions by Promoting Oxygen Tolerance and Substrate Activation in Water,
J. C. G. Kürschner, L. Brüss, L. Næsborg,
Chem. Eur. J. 2023, 29, e202300627. [doi:10.1002/chem.202300627]
J. C. G. Kürschner, L. Brüss, L. Næsborg,
Chem. Eur. J. 2023, 29, e202300627. [doi:10.1002/chem.202300627]

21.
Bioinspired crowding directs supramolecular polymerisation,
N. Bäumer, E. Castellanos, B. Soberats, G. Fernández,
Nat. Commun. 2023, 14, 1084. [doi:10.1038/s41467-023-36540-x]
N. Bäumer, E. Castellanos, B. Soberats, G. Fernández,
Nat. Commun. 2023, 14, 1084. [doi:10.1038/s41467-023-36540-x]

20.
Enantioselective dearomatization reactions of heteroarenes by anion-binding organocatalysis,
M. Aleksiev, O. García Mancheño,
Chem. Commun. 2023, 59, 3360-3372. [doi:10.1039/D2CC07101K]
M. Aleksiev, O. García Mancheño,
Chem. Commun. 2023, 59, 3360-3372. [doi:10.1039/D2CC07101K]

19.
Metal-free photosensitized radical relay 1,4-carboimination across two distinct olefins,
G. Tan, F. Paulus, A. Petti, M.-A. Wiethoff, A. Lauer, C. G. Daniliuc, F. Glorius,
Chem. Sci. 2023, 14, 2447-2454. [doi:10.1039/D2SC06497A]
G. Tan, F. Paulus, A. Petti, M.-A. Wiethoff, A. Lauer, C. G. Daniliuc, F. Glorius,
Chem. Sci. 2023, 14, 2447-2454. [doi:10.1039/D2SC06497A]

18.
EnT-Mediated N–S Bond Homolysis of a Bifunctional Reagent Leading to Aliphatic Sulfonyl Fluorides,
J. E. Erchinger, R. Hoogesteger, R. Laskar, S. Dutta, C. Hümpel, D. Rana, C. G. Daniliuc, F. Glorius,
J. Am. Chem. Soc. 2023, 145, 2364–2374. [doi:10.1021/jacs.2c11295]
J. E. Erchinger, R. Hoogesteger, R. Laskar, S. Dutta, C. Hümpel, D. Rana, C. G. Daniliuc, F. Glorius,
J. Am. Chem. Soc. 2023, 145, 2364–2374. [doi:10.1021/jacs.2c11295]

17.
On the accuracy of orbital based multi-level approaches for closed-shell transition metal chemistry,
Z. Amanollahi, L. Lampe, M. Bensberg, J. Neugebauer, M. Feldt,
Phys. Chem. Chem. Phys. 2023, 25, 4635-4648. [doi:10.1039/D2CP05056K]
Z. Amanollahi, L. Lampe, M. Bensberg, J. Neugebauer, M. Feldt,
Phys. Chem. Chem. Phys. 2023, 25, 4635-4648. [doi:10.1039/D2CP05056K]

16.
The subsystem quantum chemistry program Serenity,
N. Niemeyer, P. Eschenbach, M. Bensberg, J. Tölle, L. Hellmann, L. Lampe, A. Massolle, A. Rikus, D. Schnieders, J. P. Unsleber, J. Neugebauer,
WIREs Comput. Mol. Sci. 2023, 13, e1647. [doi:10.1002/wcms.1647]
N. Niemeyer, P. Eschenbach, M. Bensberg, J. Tölle, L. Hellmann, L. Lampe, A. Massolle, A. Rikus, D. Schnieders, J. P. Unsleber, J. Neugebauer,
WIREs Comput. Mol. Sci. 2023, 13, e1647. [doi:10.1002/wcms.1647]

15.
Impact of Hydrophobic/Hydrophilic Balance on Aggregation Pathways, Morphologies, and Excited-State Dynamics of Amphiphilic Diketopyrrolopyrrole Dyes in Aqueous Media,
N. Fukaya, S. Ogi, H. Sotome, K. J. Fujimoto, T. Yanai, N. Bäumer, G. Fernández, H. Miyasaka, S. Yamaguchi,
J. Am. Chem. Soc. 2022, 144, 22479–22492. [doi:10.1021/jacs.2c07299]
N. Fukaya, S. Ogi, H. Sotome, K. J. Fujimoto, T. Yanai, N. Bäumer, G. Fernández, H. Miyasaka, S. Yamaguchi,
J. Am. Chem. Soc. 2022, 144, 22479–22492. [doi:10.1021/jacs.2c07299]

14.
Highly Selective Radical Relay 1,4-Oxyimination of Two Electronically Differentiated Olefins ,
G. Tan, F. Paulus, A. Retería-Gómez, R. F. Lalisse, C. G. Daniliuc, O. Gutierrez, F. Glorius,
J. Am. Chem. Soc. 2022, 144, 21664-21673. [doi:10.1021/jacs.2c09244]
G. Tan, F. Paulus, A. Retería-Gómez, R. F. Lalisse, C. G. Daniliuc, O. Gutierrez, F. Glorius,
J. Am. Chem. Soc. 2022, 144, 21664-21673. [doi:10.1021/jacs.2c09244]

13.
Micellar Effects and their Relevance in Photochemistry and Photocatalysis,
L. Brüss, R. Jeyaseelan, J. C. G. Kürschner, M. Utikal, L. Næsborg,
ChemCatChem 2023, 15, e202201146. [doi:10.1002/cctc.202201146]
L. Brüss, R. Jeyaseelan, J. C. G. Kürschner, M. Utikal, L. Næsborg,
ChemCatChem 2023, 15, e202201146. [doi:10.1002/cctc.202201146]

12.
Reliable Isotropic Electron-Paramagnetic-Resonance Hyperfine Coupling Constants from the Frozen-Density Embedding Quasi-Diabatization Approach,
P. Eschenbach, D. G. Artiukhin, J. Neugebauer,
J. Phys. Chem. A 2022, 157, 8358-5368. [doi:10.1021/acs.jpca.2c04959]
P. Eschenbach, D. G. Artiukhin, J. Neugebauer,
J. Phys. Chem. A 2022, 157, 8358-5368. [doi:10.1021/acs.jpca.2c04959]

11.
Subsystem density-functional theory: A reliable tool for spin-density based properties,
P. Eschenbach, J. Neugebauer,
J. Chem. Phys. 2022, 157, 130902. [doi:10.1063/5.0103091]
P. Eschenbach, J. Neugebauer,
J. Chem. Phys. 2022, 157, 130902. [doi:10.1063/5.0103091]

10.
Thermoreversible Polymorph Transitions in Supramolecular Polymers of Hydrogen-Bonded Squaramides,
S. Bujosa, A. Doncel-Giménez, N. Bäumer, G. Fernández, E. Ortí, A. Costa, C. Rotger, J. Aragó, B. Soberats,
Angew. Chem. Int. Ed. 2022, 61, e202213345. [doi:10.1002/anie.202213345];
selected as Hot Paper
S. Bujosa, A. Doncel-Giménez, N. Bäumer, G. Fernández, E. Ortí, A. Costa, C. Rotger, J. Aragó, B. Soberats,
Angew. Chem. Int. Ed. 2022, 61, e202213345. [doi:10.1002/anie.202213345];
selected as Hot Paper

9.
Chromium/Photoredox Dual Catalyzed Synthesis of α-Benzylic Alcohols, Isochromanones, 1,2-Oxy Alcohols and 1,2-Thio Alcohols,
S. Dutta, J. E. Erchinger, F. Schäfer, A. Das, C. G. Daniliuc, F. Glorius,
Angew. Chem. Int. Ed. 2022, 61, e202212136. [doi:10.1002/anie.202212136]
S. Dutta, J. E. Erchinger, F. Schäfer, A. Das, C. G. Daniliuc, F. Glorius,
Angew. Chem. Int. Ed. 2022, 61, e202212136. [doi:10.1002/anie.202212136]

8.
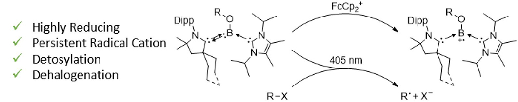
Oxy-Borylenes as Photoreductants: Synthesis and Application in Dehalogenation and Detosylation Reactions,
P. Lenz, R. Oshimizu, S. Klabunde, C. G. Daniliuc, C. Mück-Lichtenfeld, J. C. Tendyck, T. Mori, W. Uhl, M. R. Hansen, H. Eckert, S. Yamaguchi, A. Studer,
Angew. Chem. Int. Ed. 2022, 61, e202209391. [doi:10.1002/anie.202209391]
P. Lenz, R. Oshimizu, S. Klabunde, C. G. Daniliuc, C. Mück-Lichtenfeld, J. C. Tendyck, T. Mori, W. Uhl, M. R. Hansen, H. Eckert, S. Yamaguchi, A. Studer,
Angew. Chem. Int. Ed. 2022, 61, e202209391. [doi:10.1002/anie.202209391]

7.
Visible-Light Photocatalyzed peri-(3 + 2) Cycloadditions of Quinolines,
P. Bellotti, T. Rogge, F. Paulus, R. Laskar, N. Rendel, J. Ma, K. N. Houk, F. Glorius,
J. Am. Chem. Soc. 2022, 144, 15662-15671. [doi:10.1021/jacs.2c05687]
P. Bellotti, T. Rogge, F. Paulus, R. Laskar, N. Rendel, J. Ma, K. N. Houk, F. Glorius,
J. Am. Chem. Soc. 2022, 144, 15662-15671. [doi:10.1021/jacs.2c05687]

6.
Direct Access to Unnatural Cyclobutane α-Amino Acids through Visible Light Catalyzed [2+2]-Cycloaddition,
M. Stinglhamer, X. Yzeiri, T. Rohlfs, T. Brandhofer. C. G. Daniliuc, O. G. Mancheño,
ACS Org. Inorg. Au 2022, 2, 496-501. [doi:10.1021/acsorginorgau.2c00026]
M. Stinglhamer, X. Yzeiri, T. Rohlfs, T. Brandhofer. C. G. Daniliuc, O. G. Mancheño,
ACS Org. Inorg. Au 2022, 2, 496-501. [doi:10.1021/acsorginorgau.2c00026]

5.
Regio- and Enantioselective Intermolecular Aminofluorination of Alkenes via Iodine(I)/Iodine(III) Catalysis,
M. Schäfer, T. Stünkel, C. G. Daniliuc and R. Gilmour,
Angew. Chem. Int. Ed. 2022, 61, e202205508. [doi:10.1002/anie.202205508];
selected as Hot Paper
M. Schäfer, T. Stünkel, C. G. Daniliuc and R. Gilmour,
Angew. Chem. Int. Ed. 2022, 61, e202205508. [doi:10.1002/anie.202205508];
selected as Hot Paper

4.
A negative-solvatochromic fluorescent probe for visualizing intracellular distributions of fatty acid metabolites,
K. Kajiwara, H. Osaki, S. Greßies, K. Kuwata, J. H. Kim, T. Gensch, Y. Sato, F. Glorius, S. Yamaguchi, M. Taki,
Nat. Commun. 2022, 13, 1370. [doi:10.1038/s41467-022-30153-6]
K. Kajiwara, H. Osaki, S. Greßies, K. Kuwata, J. H. Kim, T. Gensch, Y. Sato, F. Glorius, S. Yamaguchi, M. Taki,
Nat. Commun. 2022, 13, 1370. [doi:10.1038/s41467-022-30153-6]

3.
Expanding the Scope of MetastableSpecies in Hydrogen Bonding-Directed SupramolecularPolymerization,
J. Matern, Z. Fernández, N. Bäumer, G. Fernández,
Angew. Chem. Int. Ed. 2022, 61, e202203783. [doi:10.1002/anie.202203783]
J. Matern, Z. Fernández, N. Bäumer, G. Fernández,
Angew. Chem. Int. Ed. 2022, 61, e202203783. [doi:10.1002/anie.202203783]

2.
Anti-cooperative Self-Assembly with Maintained Emission Regulated by Conformational and Steric Effects,
I. Helmers, M. S. Hossain, N. Bäumer, P. Wesarg, B. Soberats, L. S. Shimizu, G. Fernández,
Angew. Chem. Int. Ed. 2022, 61, e202200390. [doi:10.1002/anie.202200390];
selected as Hot Paper
I. Helmers, M. S. Hossain, N. Bäumer, P. Wesarg, B. Soberats, L. S. Shimizu, G. Fernández,
Angew. Chem. Int. Ed. 2022, 61, e202200390. [doi:10.1002/anie.202200390];
selected as Hot Paper

1.
Regio- and Stereoselective 1,2-Carboboration of Ynamides with Aryldichloroboranes,
C. You, M. Sakai, C. G. Daniliuc, K. Bergander, S. Yamaguchi, A. Studer,
Angew. Chem. Int. Ed. 2021, 60, 21697-21701. [doi:10.1002/anie.202107647]
C. You, M. Sakai, C. G. Daniliuc, K. Bergander, S. Yamaguchi, A. Studer,
Angew. Chem. Int. Ed. 2021, 60, 21697-21701. [doi:10.1002/anie.202107647]
