| Project Z1 |
 |
| Project Z1: Definition of cooperativity as "three-body-energy-scenario". |
Within the SFB 858 we describe the phenomenon "Cooperativity" on different levels of complexity of the respective systems. Systematic generation, manipulation and understanding of cooperative effects in chemical reactions afford detailed knowledge about the structural and energetic relationships on the molecular level. Modern quantum chemistry based molecular modeling methods have developed to powerful and reliable tools in recent decades for planning and interpreting chemical reactions.
On the molecular level we define such arrangements being cooperative that consist of at least three components acting in concert (three-body-energy-cooperativity). Most of these systems may be utilized to activate chemical systems. For the analysis of energetic aspects of cooperativity, we need to define or generate (experimental or theoretical) reference systems that allow to measure cooperativity as an increasing or decreasing effect (the latter being defined as "anti-cooperative"): This effect then is described by a changed value of the (free) energy of the composite system, i.e. the overall mutual interaction energy ?E(ABC) does not equal the sum over all pairwise {partial} interaction energies of its fragments (reference systems ?E(AB), ?E(AC), ?E(BC)). (Anti)cooperativity then can be expressed as
?E = ?E(ABC) – ?E(AB) – ?E(AC) – ?E(BC).
In some cases it can be problematic or even impossible to investigate the reference systems experimentally. Then these shall be described by theoretical means. Quantum chemical methods of choice are based on density functional theory (DFT) and perturbation theory (MPn), respectively, as they have been established in the Grimme group (DFT-D, B2PLYP, SCS-MP2, MP2.5). As part of the project, existing methods shall be developed further and will be utilized in combination with efficient computer implementations (ORCA, TURBOMOLE and VASP codes) for various applications with other groups within the SFB. The project is sub-divided into a) non-covalent interactions, b) frustrated systems without transition metals, c) (bi)metalic systems and d) large systems and surface models.
|
| Project A1 |
 |
| Project A1: Example of a reaction of a FLP with unsaturated substrates. |
In a pair of compounds consisting of Lewis acids and Lewis bases this pair is prevented from neutralizing itself if both the subunits exhibit sufficient sterically hindrance. In those cases they exhibit the chemical properties of both components as reactive partners. Such "frustrated" Lewis Pairs (FLPs) react under 1,2-addition at organic ?-systems. This type of activation mediated by frustrated Lewis pairs is a prototypical example of a cooperative interaction within a three-species-system. Within project A1 new "frustrated" Lewis pairs shall be developed derived from phosphorous/boron, nitrogen/boron and carbon/boron. We then want to investigate these systems in addition reactions with olefins, alkynes, ketones, aldehydes and similar substrates and analyze the mode of action of these transformations. Furthermore, we’d like to utilize these reactions for the modification of catalysts and polymerization reactions.
|
| Project A2 |
 |
| Project A2: Example of a potential Al/N-mediated double activation via a 6-membered intermediate. |
The project investigates the synthesis and reactivity of bi-functional compounds featuring Lewis acidic (unsaturated three coordinate aluminum or gallium atoms) and Lewis basic (nitrogen atoms) functionalities in the same molecule. Self-quenching of the opposite functionalities as a result of inter- or intramolecular adduct formation is to be suppressed completely or at least limited to only weak by the introduction of sterically demanding ligands and/or spacer units. Such carefully designed donor- and acceptor groups are expected to activate ?- and or ?-bonds of suitable substrates in a cooperative manner. Hereby we will influence the reactivity and selectivity of small molecules in specific functionalisations and reactions such as cycloadditions or the synthesis of heterocycles in a rational way.
|
| Project A3 |
 |
| Project A3: Generation of a chiral silylium ion at the ferrocene platform. |
The major challenge of project A3 is the generation of a trivalent, cationic silicon compound (silylium ion) with its LUMO stabilized by a neighboring electron rich transition metal center. The interaction of the silicon atom and the transition metal leads to pyramidalization of the usually planar silicon cation. As a consequence, the silicon atom becomes stereogenic when provided with a specific substitution pattern. On the one hand these novel asymmetric substituted silylium ions shall be exploited as chiral Lewis acid catalysts, on the other hand they shall be utilized in (stoichiometric) enantioselective and desymmetrizing C(sp3)-F-bond activation reactions. The cooperative and essentially reversible interaction between transition metal and the strongly Lewis acidic silicon atom therefore is essential for a successful reaction outcome.
|
| Project A4 |
 |
| Project A4: Modular building block for heterobimetallic complexes. |
Project A4 focuses on the development of novel catalytic heterobimetallic systems for asymmetric cooperative catalysis. BINOL derivatives are exploited as chiral building blocks. Ligand precursors shall be generated in a pseudo combinatorial "Click"-chemistry approach via Huisgen-[3+2]-cylcoaddition chemistry with BINOL-azides and/or -alkynes. Within the resulting multifunctional systems the specific choice of a metal center may allow the modulation of the catalyst’s properties. Asymmetric aldol type reactions, addition reactions, hydrogenations of pyridines and hetero-Diels-Alder-reactions are envisaged as catalytic test transformations. Dual activation should provide an increase in reactivity and selectivity of the reaction substrates. In addition, the respective reference systems shall also be generated and tested in order to determine potential cooperative effects appearing.
|
| Project A5 |
 |
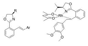
| Project A5: Example of an oxazoline-stilbene-ligand and a Rhodium-complex thereof. |
Transition metal complexes of ?2-bonded olefins have played an important role in the field of organometallic chemistry for decades. In catalysis, olefins have only functioned as substrates for a long time, being transformed further after decomplexation. In recent years, olefins have gained additional importance as steering ligands binding to the catalytically active metal and thus influencing the catalytic properties of the metal center. The aim of project A5 is to utilize and analyze olefin ligands in cooperative catalytic reactions. For this purpose, novel steering ligands based on olefins shall be developed. These shall then be used for the generation of bimetallic catalyst systems in combination with N-heterocyclic carbene ligands. Furthermore, olefin and aromatic substrates shall be identified that can be activated via complexation at heterogeneous and homogeneous metal catalysts and thus act as dual catalysts. In addition, theoretical methods might give an insight into the olefin metal interactions and explain synergetic effects potentially involved on this particular field of catalysis.
|
| Project A6 |
 |
| Project A6: Amphiphilc character of NHSns. |
In recent years N-heterocyclic carbenes (NHCs) have gained enormous interest and importance as ligands in transition metal catalysis and as organocatalysts. In contrast, their heavier analogues, e.g. N-heterocyclic stannylenes (NHSns), have only been investigated with respect to structural characterization. NHSns contain a Sn-atom featuring a Lewis basic sp2-orbital that for example allows the coordination of the stannylene to a metal center. On the other hand they bear an empty Lewis acidic p-orbital. In comparison with NHCs NHSns are generally more electrophilic, thus the empty p-orbital is of higher importance. This inherent amphiphilic character of the Sn-atom, i.e. the simultaneous occurrence of two principle catalytic functionalities, shall be exploited for cooperative catalyses within project A6 for the first time. We try to generate novel NHSns and investigate their properties with regards to cooperative catalytic applications.
|
| Project A7 |
 |
| Project A7: X-Ray structure of a homobimetallic Au(I) complex. |
Project A7 is devoted to the synthesis of bimetallic carbene complexes with cooperating metal centers and their application in homogeneous catalysis. We will exploit cyclic tetracarbene ligands for the generation of digold(I)-complexes. Poteantial aurophilic interactions occuring are currently unknown. We also envisage to synthesize mixed valence Au(I)/Au(III)-derivatives. The corresponding complexes shall be tested in catalytic addition-, hydroamination- and cycloisomerization reactions. These mixed valence complexes are of special interest, as Au(I) and Au(III) might be able to selectively transform substrates at the corresponding metal center in its oxidation state, therefore in principle allowing to catalyze two different reactions in a cooperative manner at one substrate. Also chemoselective reactivity might be accessible, as Au(I) coordinates to hard donor centers, whereas Au(III) prefers alkenes and alkynes, respectively. In a second subproject dinuclear carbene complexes comprising Rh(II)-Rh(II)-moieties shall be utilized in catalytic oxidation-, cyclopropanation- and C-H-bond activation reactions of diazo compounds. The coordination sphere (parallel vs. coplanar) in such complexes shall be varied in order to determine the effect on the catalysis outcome.
|
| Project A8 |
 |
| Project A8: Potential activation reactions of multicore Ru-polyhydrides. |
The main objective of project A8 is to analyze the cooperative reactivity of novel ruthenium hydride complexes. New oligonuclear compounds are designed which are able to perform unusual C-H and C-C activations. In addition, the new complexes are of interest as hydrogenation catalysts. A further objective of our project is to explore the effects of metal-ligand-cooperativity in catalytic reactions such as the dehydrogenative synthesis of organic amides. Cooperative effects will be analyzed by comparison with suitable reference compounds and through quantum chemical studies which are performed in close collaboration with the group of Prof. Stefan Grimme.
|
| Project B1 |
 |
| Project B1: Stepwise orthogonal functionalization of SiO2-particles for the generation of "frustrated" systems at the surface. |
The generation of inorganic-organic hybrid material is one of the major issues within the first project (B1) in project area B. We plan to utilize these hybrid materials as bi- and multifunctional catalysts systems acting in a cooperative manner. Porous SiO2 with defined pore diameter shall be applied as an inorganic support. Functionalization of this material can be achieved by treatment with trialkoxysilanes or trichloroalkylsilanes, respectively, with SiOH units at the surface, leading to particles bearing alkene-, alkyne- and azide-moieties. These three functionalities can be adressed chemoselectively in orthogonal processes by a) the Cu-free Huisgen-[3+2]-alkyne-azide-cycloaddition, b) its Cu-catalyzed pendant and c) radical carboaminoxylation. Such orthogonal processes allow the installation of different functional groups in a combinatorial approach ("one-bead/one-compound"-strategy). They might act as cooperative active units (mainly acid/base-pairs) being "frustrated" at the surface via local separation. As proof of principle, aldol-, Michael- and Baylis-Hillman reactions shall be performed. Finally this approach may lead to tri- and tetrafunctional, cooperative active catalyst systems. Catalyst separation and recycling should be accessible by centrifugation or simple filtration. Kinetic cooperative effects shall be determined experimentally by generation and analysis of the corresponding reference systems.
|
| Project B2 |
 |
| Project B2: UHV Deposition of substrates and analysis of the resulting products with raster probe methods (here: STM). |
Patterning at surfaces via self assembly of organic molecules has gained increasing interest in recent years. Two dimensional and, where appropriate, three dimensional molecular systems can be created via organic molecular beam epitaxy (OMBE) by the specific interaction between the organic molecule and the surface and also between the molecules themselves. The generation of defined structures then is the result of cooperative interactions. This project focuses on intermolecular reactions of self assembled organic molecules, thus stabilizing the preformed architectures to a further extent. Self assembly hereby steers the reaction (cooperativity by alignment, selectivity). Initially, we want to proof this approach through performing different condensation reactions.
|
| Project B3 |
 |
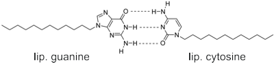
| Project B3: Example of lipophilzed nucleobases. |
The major goal of project B3 is to cover surfaces with structured, self assembled and functionalized molecular layers in order to study patterning and selective chemical reactions on these two dimensional systems. For this purpose, a collection of lipophilzed biogenic molecules will be applied, which enables the generation of intermolecular hydrogen bonds: with e.g. their pendant molecules, with similar compounds (namely nucleobases A, T, C and G), with carbohydrates. Also a combination of these compounds equipped with long alkyl chains shall be tested. Patterning then can be the result of cooperative interactions on solid surfaces. Furthermore, the architecture of complex supramolecular pattern shall be performed through the synthesis of specific non-linear building blocks. We want to analyze the influence of cooperative effects along these patterning processes by systematic variation of external parameters. Also potential kinetic parameters in combination with effects resulting from non-equilibrium states will be analyzed. Additionally, we want to explore conditions that allow performing specific reactions at the surface like the generation of metal complexes, of adducts , of surface bond catalysts and the stabilization of unusual polymer architectures. Theoretical analyses like Monte-Carlo-simulations support the experimental studies: Which cooperative alignment of two alkyl chains induces the overall patterning? How do defects decrease cooperative effects? The corresponding free energies shall be calculated by determination of the energetic and entropic contribution terms and thus enable the prediction and/or explanation of temperature dependencies.
|
| Project B4 |
 |
| Project B4: Sketch of a membrane micro domain (raft). |
The dynamic organization of cellular membranes leading to subdomains with discrete local dimensions and limited lifetime is of fundamental importance for transport processes across membranes and the transmission of biological, chemical and mechanic signals. The organization process is a result of the intrinsic properties of the membrane lipids and of integral or peripherally associated proteins. Among others, proteins associated with the cytosolic leaflet of the plasma membrane, such as annexins, influence the aggregation via interaction with membrane lipids. Annexins support the generation of cholesterol- and PI(4,5)P2-enriched membrane micro domains in model systems and probably also in vivo, i.e. in the cell. Within project B4 the domain formation properties of certain membrane lipids will be analyzed in artificial membrane systems and then in membrane-protein mixtures focussing on the effect of different peripheral (e.g. annexins) and integral membrane proteins. Initial research results suggest a cooperative interaction during the protein-lipid-aggregation process at least for the annexin family member annexin A2. The experiments will be carried out using artificial, solid-supported membranes and a number of high resolution analytical techniques. They will be complemented by a theoretical analysis of membrane domain formation under the different conditions carried out in project B7.
|
| Project B5 |
 |
| Project B5: ATP hydrolysis event on an efflux pump. |
The main target of project B5 is to get a deeper insight into the cooperative interaction of both subunits in ABC transporters (ABC = ATP binding cassette) that is influenced by the transported substrates and by hydrolysis of ATP. These efflux proteins, fundamental e.g. for the Multi-Drug-Resistance, consist of two - often covalently bond - heterological or homological protein subunits. Both subunits contain a ATP binding site. The various compounds transported are e.g. drugs, cholesterol, bile salts, lipids and even complete proteins. The mechanism of this transport is not understood to date. We take into account a cooperative interaction between these substrates and the protein subunits, modulating the biological activity. A change in the conformation may induce ATP hydrolysis and start the active transport process. It is assumed, that ATP functions not only as a source of energy, but also regulates the efficiency of the transport. We try to analyze the ATP hydrolysis process and the transport activity with the help of reconstituted vesicle systems in suspension, with surface attached proteoliposomes and with solid state supported membranes.
|
| Project B6 |
 |
| Project B6: Selection of a carbohydrate receptor from a dynamic peptide library. |
Molecular recognition of carbohydrates is a key issue in biology and in medicine. It is also a challenge to the synthetic chemist: Selective receptors for carbohydrates can function as drugs, synthetic antibodies, receptors and sensors. However, nearly all synthetic receptors for carbohydrates fail to function in aqueous media. Proteins on the other hand bind to carbohydrates through multiple hydrogen bonds. This recognition process often takes place at membrane surfaces. Within project B6 we are planning to carry out a parallel combinatorial approach for the recognition of carbohydrates in aqueous media and also at the surface of lipid membranes. Although dynamic combinatorial approaches have been quite successful for the detection of synthetic receptors in general, this methodology has not been exploited for the recognition of carbohydrates so far. We intend to find receptors for carbohydrates, that work efficiently in water as well as at membrane surfaces.
|
| Project B7 |
 |
| Project B7: Raft formation (CG simulation). |
Membrane lipids show the ability of generating fluid-fluid-phases, so called "rafts", in equilibrium. The aim of project B7 is to get a deeper insight into the raft formation process from a theoretical point of view. Rafts can already be obtained in ternary systems (e.g. in the presence of suitable lipids A and B and cholesterol (chol; type C)). The more mobile part then is enriched by B, the less mobile part exhibits more A and C. Chol is essential for the formation of rafts. Herein, cooperative processes are involved from two points of views: On the one hand the presence of chol makes the system AB "non-ideal" enough for phase separation. On the other hand the formation process itself is strongly dependant on the complex interaction of the degrees of freedom of chain conformation and translation. This process is not understood on neither the microscopic scale nor the mesoscopic scale. We want to tackle the problem of raft formation on two different levels: On the one hand we are aiming to perform microscopic simulations on the molecular dynamic with "coarse-grained" (CG) models. These models are sufficiently detailed to enable microscopic analyses; however, they are also sufficiently simplified in comparison to atomic perspectives in order to handle at least the initial phase of raft formation. On the other hand we want to carry out grid simulations with a minimum of freedom degrees for each molecule. The interaction mode of choice between the molecules themselves then can be obtained from the CG-simulations. From a theoretical point of view such models might also be analyzed on mean-field level in order to get a more detailed insight into the phase behavior.
|
| Project B8 |
 |
| Project B8: Distamycine derivates binding to DNA. |
The DNA double helix is one of the most prominent chiral objects. In addition to its biological function DNA has also found interesting applications in further research areas such as nanotechnology. In project B8 we want to utilize DNA as an element for the organization of catalysts. The fixation of catalysts at specific positions of the DNA molecule should enable an efficient chirality transfer. For this purpose, the catalysts will be attached via known DNA-binding hetaryl oligoamides fitting into the gaps of DNA. Furthermore, the polyanionic character of DNA should enable performing catalyses in water for systems usually not soluble in aqueous media. The resulting hybrid catalysts then will be analyzed with respect to their potential cooperative interactionn namely the interaction between DNA and the catalytic active center. If applicable, anchors binding in a highly specific manner might even enable the formation of more than one catalytic moiety, thus enabling the formation of novel bifunctional hybrid catalysts.
|
| Project B9 |
 |
| Project B9: Examples of metal-mediated base pairs. |
The DNA molecule represents also the key compound within project B9. On the basis of artificial metal-mediated base pairs with known geometry, we intend to generate and characterize double helices with a structure analogous to that suggested for M-DNA. We will study the influence of the artificial base pairs on charge transfer through the DNA helix. Based on sequences originally investigated for non-modified DNA, we will subsequently replace the natural base pairs by artificial metal-mediated ones and analyze a potential correlation between the efficiency of the charge transfer and the number and position of the incorporated metal ions. Both hole transfer and excess electron transfer will be studied.
|
| Project B11 |
 |
| Project B11: Magnetic Coupling od TEMPO Dimers. |
The design of organic magnetic materials based on stable radical molecules or molecule ions has received increasing interest. Recent research on a variety of nitroxide radicals and nitroxide radical salts revealed that the unpaired spins present in the crystal can exhibit ferromagnetic as well as antiferromagnetic properties. These magnetic properties might be tunable as a function of substituents present in the nitroxide molecules that influences the relative alignment of the nitroxide moieties within the molecule crystal. In general, these results match the McConnell model: Ferromagnetism may arise when the electron density between atoms overlaps with different phases of spin polarization. Up to now research focused on simpler molecule crystals or supramolecular assemblies thereof. Within project B11 we want to generate and characterize novel materials with cooperative magnetic properties via the specific alignment of organic radicals and radical ions in inorganic-organic hybrid systems. We are planning to incorporate the radical species into inclusion compounds. The relative alignment of the spin labeled atoms herein results from the relative alignment of the radical molecules. We also aim to attach radical species to surfaces via covalent bond formation as well as self assembly. The envisaged cooperative effects might be analyzed via measurement of magnetic susceptibility and further be characterized by field dependant curves of magnetism. Solid-state NMR techniques may also deliver a deeper insight.
|
| Project B12 |
 |
| Project B12: A small polypeptide receptor mimic (H-Cys-His-Cys-OMe)2 in explicit solvent. The partitioning of QM layer (vdW radii and thick tube)/MM layer (thin wire). |
Investigating cooperative effects across a wide range of complex molecular systems is a significant undertaking. This research project B12 will naturally begin with the careful acquisition of a set of accurate structures that may exhibit cooperative effects. In the next phase, a systematic and thorough investigation of their intrinsic properties will ensue. In this manner, investigating cooperative effects within complex molecular systems is envisaged. The research program is naturally separated into two levels. Firstly, an exploration of cooperative effects that are ubiquitous in biomolecules shall be pursued. Secondly, an active role in co-developing strategies to model catalysts that possesses desirable physiochemical properties mediated (in part) by cooperative effects shall be undertaken. This project will initially implement an adaptive-Quantum Mechanical (QM)/Molecular Mechanical (MM) scheme. In such an adaptive scheme, the QM and MM assignment of molecules is not rigid and molecules can freely change layers throughout a simulation.
|
| Project B13 |
 |
| Project B13: Structure of reverse gyrase from A. fulgidus (PDB-ID 1gku; A.C. Rodriguez, D. Stock, EMBO Journal, 2002. 21(3): p. 418-426). |
The combined action of helicases and topoisomerases is central to maintaining genome stability in many organisms, including humans, and defects lead to severe diseases and death. While helicases use the energy of ATP hydrolysis, DNA topoisomerases inter-convert different topological states of DNA. Reverse gyrase is a unique enzyme that is capable of introducing positive supercoils into DNA at the expense of ATP hydrolysis. This novel function is achieved by the functional cooperation of a helicase-like and a topoisomerase domain. The helicase-like domain binds and hydrolyzes ATP, and cooperates with the topoisomerase domain that catalyzes DNA cleavage, and strand passage towards positive supercoiling. Reverse gyrase serves as a model system for understanding the functional cooperation of helicases and topoisomerases in general. We have already shown that the isolated helicase-like domain of reverse gyrase binds ATP and DNA cooperatively, and provides a nucleotide-dependent DNA binding site for reverse gyrase. Reverse gyrase is more than the sum of its parts: In this project, we will dissect the molecular basis for the functional cooperation of the helicase and topoisomerase modules in reverse gyrase that lead to the generation of the novel function of ATP-dependent positive DNA supercoiling. Overall, the results will provide a comprehensive understanding at the molecular level of the functional cooperation of the two domains in reverse gyrase, and provide insight into the functional cooperation of helicase and topoisomerase domains in general.
|
| Project B14 |
 |
| Project B14: Model for a specific interaction of an ubiquitin dimer with a receptor protein. |
Ubiquitin (Ub) and Ubiquitin-like proteins (Ubl) such as SUMO are small proteins that become covalently attached to cellular proteins. These posttranslational modifications play a key role in many fundamental biological processes, for example protein degradation, DNA-repair and various signaling pathways. Ub und Ubl typically exert their function on the molecular level by providing new or blocking existing interaction surfaces for potential binding partners. For these interactions two weak binding contributions from the modified protein and the Ub or Ubl modifier, respectively, add up in an additive or cooperative fashion to a higher affinity and more specific molecular recognition with the third protein. The goal of this project is to study the principles and outcome of these cooperative effects. Since most Ub or Ubl-modifications on specific lysine side chains of proteins cannot be generated in controlled and homogenous form by enzymatic means, we will further develop and apply chemical conjugation strategies, such as Cu(I)-catalyzed click chemistry, and analyse interactions with binding proteins by new chemical crosslinking approaches. This project will further our understanding of the wiring of protein interactions by Ub/Ubl-modifications and will increase the available tool set of protein chemistry for such studies.
|